总结
字数
1277 字
阅读时间
5 分钟
一、行阶梯形的用处
- 求矩阵的秩(矩阵化为行阶梯形)
- 非零行的个数就是秩的值
- 求向量的线性表示((
| ) 化为 行最简形,即可知晓如何用来线性表示 ) - 行最简形要求非零行第一个元素为1,并且其所在列的其余元素均为0
- 如何化简?
- 先化左下角,然后对角线化为1,最后化右上角(仅对
这部分进行化简,最终得到的 部分就是我们要求的线性表示关系)
- 先化左下角,然后对角线化为1,最后化右上角(仅对
- 求极大线性无关组(行阶梯形每行第一个非零元素对应的列向量构成极大无关组)
- 求线性方程组(包括齐次与非齐次)中的主变量和自由变量(将系数矩阵化为行阶梯形,每行第一个非零元素对应的未知数称为主变量,其余未知数称为自由变量)
- 注意,该点只用于判断主变量与自由变量,并非求方程组的解
- 求基础解系(矩阵A化为
行最简形,并将自由变量依次取1,其余自由变量取0,每种情况对应基础解系中的一个解,可见P48)- 齐次线性方程组的通解是基础解系的线性组合,基础解系满足Ax=0
- 求非齐次线性方程组的特解(
为数字增广矩阵,进行初等行变换,化为 行最简形,所有自由变量取0,解得主变量,得到特解)- 一般会结合齐次方程组的基础解系来求非齐次的通解
- 非齐次通解=非齐次特解 + 齐次基础解系的线性组合(齐次的通解)
- 求特征值
的特征向量(特征方程法):先求出 的n个特征值 ,随后求解 的基础解系(化为 行最简形,同基础解系求法),得到个线性无关的特征向量
秩与极大线性无关组
- 我们已知求矩阵的秩就是将该矩阵进行初等行变换为行阶梯形,非零行的行数就是秩的值;而求极大线性无关组也同样需要对向量矩阵进行初等行变换为行阶梯形,每行第一个非零元素对应列所代表的列向量构成极大线性无关组
- 故我们可以得知,
中极大线性无关组的向量个数= r( ) - 若所有向量均线性无关,则有:
中极大线性无关组的向量个数= r( )=s(线性无关的充要条件) - 矩阵的秩就是该矩阵所代表的向量组中极大无关组向量的个数
齐次与非齐次方程组
齐次与非齐次方程组的公式中的n指的都是列数,即未知数个数
二、代数余子式的使用
仅出现于如下场景:
- 展开定理
- 伴随矩阵(伴随矩阵是原矩阵的代数余子式竖着写)
三、基础解系与极大无关组与矩阵A
- 我们已知
基础解系是Ax=0的解的极大无关组,并且基础解系的个数一定是 n-r(A) 个。 - 极大无关组是指:s个向量组成线性无关向量组,若再往其中加入任一向量,则这s+1个向量线性相关,故说这s个线性无关向量组为极大线性无关组
- 只有Ax=0的解的极大无关组可以称为基础解系,矩阵A的极大无关组与基础解系无关
四、各行元素之和
若题目所给已知条件为:矩阵A的各行元素之和,就要立刻反应过来这表示的是:
A与n×1矩阵的积
五、🌟🌟🌟二次型求最值
六、可能用到实对称矩阵的知识点
- 合同矩阵的前提是实对称矩阵
- 实对称矩阵的性质,实对称矩阵可正交相似对角化,实对称矩阵A求解对应的正交矩阵Q
- 实对称矩阵必定可相似对角化
- 正定二次型与正定矩阵
七、求高次幂的方法
第二种做法适用于 B为三角矩阵的情况,即:A为三角矩阵,且对角线元素相同
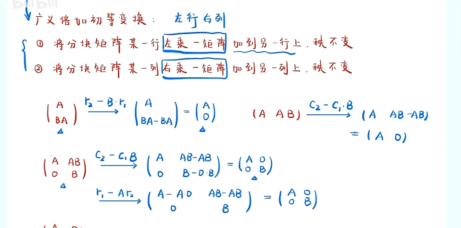
八、分块矩阵的秩

九、广义初等变换(舒尔公式)
